Expanded Knowledge
Problem 2: Expanded Knowledge
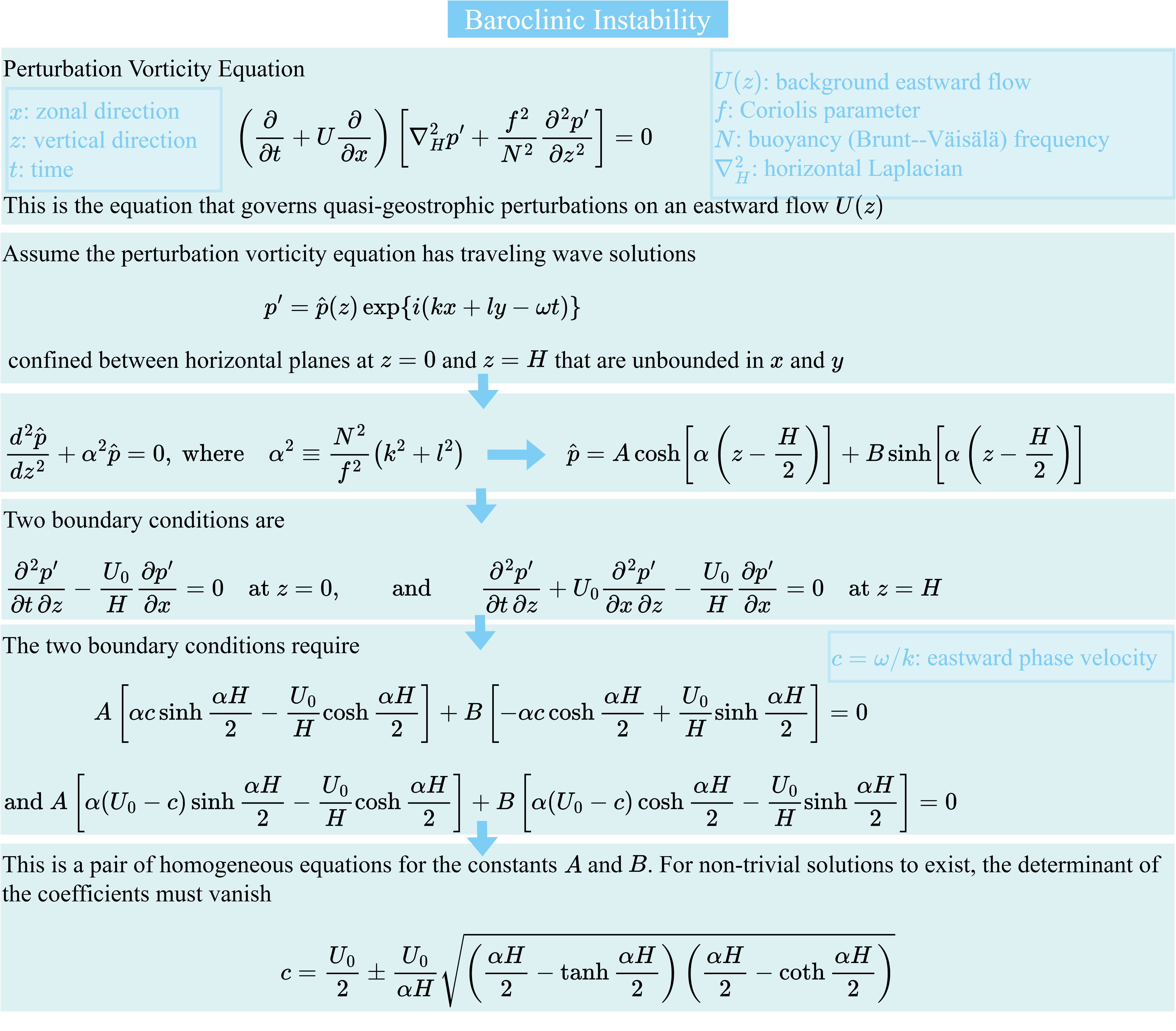
BaroclinicInstability